CE303-S31.746 JPVZ PLC 1111
Счетчик электроэнергии трехфазный микропроцессорный многотарифный
CE303-S31.746 JPVZ PLC 1111
(для АСКУЭ,PLC,100А)
Счетчик является трехфазным трансформаторного или непосредственного включения, предназначен для измерения активной и реактивной электрической энергии, мощности, частоты напряжения, коэффициентов активной и реактивной мощностей, углов между векторами фазных напряжений и векторами фазных токов и напряжений, среднеквадратического значения напряжения, силы тока.
Счетчик имеет возможность организации многотарифного учета электроэнергии с передачей накопленной информации через оптопорт, интерфейс RS485, радио, PLC или GSM/GPRS модемы.
Счетчик обеспечивает
- Хранение данных о почасовых объемах потребленной энергии за последние 128 суток.
- Интервал времени усреднения профилей нагрузки: 1, 2, 3, 4, 5, 6, 10, 12, 15, 20, 30, 60 минут.
- Длительность хранения информации при отключении питании - не менее 10 лет.
- Фиксацию 20 последних корректировок времени, изменения установок времени тарифных зон и перепрограммирования метрологических характеристик счетчика.
- Фиксацию 100 последних пропаданий и выходов за пределы допустимых значений фазных напряжений.
- Индикацию данных на ЖК-индикаторе с заданной периодичностью
(Т=5-255 с) или пролистывание с помощью элементов управления (кнопки) на лицевой панели. - Управление нагрузкой с использованием внешнего коммутационного устройства.
- Сигнализацию отклонения от лимитов по мощности и потреблению, фиксацию максимального значения мощности для каждого тарифа в течение месяца (интервал усреднения - 30 минут) и контроль превышения лимита для выдачи счетчиком команды на срабатывание внешнего реле сигнализации.
- Защиту от внешних воздействий:
- при наличии постоянной составляющей в сети;
- при воздействии переменного магнитного поля;
- при воздействии постоянного магнитного поля;
- при изменении направления тока в фазах (вход-выход счетчика).
- Обеспечение питания как от фазного напряжения (наличие 1 фазы), так и от линейного (обрыв нуля).
- Предусмотрена защита памяти данных и памяти программ от несанкционированных изменений с помощью кнопок или по интерфейсу (два пароля для двух уровней доступа, аппаратное разрешение (кнопка или другое устройство), электронная пломба с фиксацией в журнале событий).
- Контроль обрывов фазных и нулевого проводов на участках линии от трансформаторной подстанции до счетчика, с последующей сигнализацией об авариях на ЛЭП (в исполнениях счетчиков с модулем GSM).
- Задание лимитов по превышению потребляемых токов, с фиксацией в журнал событий и сигнализацией о превышении верхнего лимита.
Нормативно-правовое обеспечение
- ГОСТ 31818.11-2012 (IEC 62058-11-2012)
- ГОСТ 31819.21-2012 (IEC 62058-21-2012)
- ГОСТ 31819.22-2012 (IEC 62053-22:2003)
- ГОСТ 31819.23-2012 (IEC 62053-23:2003)
- Сертифицирован и внесен в Государственный реестр средств измерений РФ.
Характеристики надежности
- Средняя наработка на отказ - 220 000 часов.
- Средний срок службы - 30 лет.
- Межповерочный интервал - 16 лет.
- Гарантийный срок (срок хранения и срок эксплуатации суммарно) - 4 года с даты выпуска для счетчиков, произведенных до 01.05.2019 г.
- Гарантийный срок (срок хранения и срок эксплуатации суммарно) - 7 лет с даты выпуска для счетчиков, произведенных c 01.05.2019 г.
Функциональные возможности
Счетчик обеспечивает учет и вывод на индикацию:
- количества потребленной активной электроэнергии нарастающим итогом суммарно и раздельно по 4 тарифам на конец месяца и за 36 предыдущих месяцев;
- количества потребленной активной электроэнергии нарастающим итогом суммарно и раздельно по 4 тарифам на конец суток за 128 суток;
- графиков активных мощностей (потребления), усредненных на заданном интервале времени 60 минут не менее 256 суток;
- максимальное значение активной мощности за текущий и 36 прошедших месяцев раздельно по четырем тарифам.
Счетчик измеряет и показывает:
- среднеквадратические значения фазных напряжений и токов;
- активную мощность.
Счетчик обеспечивает задание следующих параметров:
- текущего времени и даты;
- разрешение перехода на "летнее" время (с заданием месяцев перехода на "зимнее", "летнее" время);
- до 12 дат начала сезона;
- до 12 зон суточного графика тарификации и до 36 графиков тарификации;
- до 32-х исключительных дней (дни, в которые тарификация отличается от общего правила и задается пользователем);
- коэффициентов трансформации тока и напряжения;
- лимитов по потреблению и мощности с процентом превышения для работы сигнализации по каждому тарифу.
Перечень АСКУЭ сторонних производителей, адаптированных для работы
cо счетчиком CЕ301
Особенности электросчетчика
- Наличие оптического интерфейса.
- Цифровой интерфейс RS485, RS232.
- Модификации с PLC, GSM/GPRS и радиомодемом RF433.
- Контроль вскрытия крышки (электронная пломба)
- Управление нагрузкой с использованием внешнего коммутационного устройства.
- Защита памяти данных и памяти программ от несанкционированных изменений (пароль счетчика, аппаратная блокировка).
- Устойчивость к климатическим, механическим и электромагнитным воздействиям.
- Модификации счетчика с устройством дистанционного считывания данных СЕ901 RU
Перечень рекомендуемых антенн для использования в счетчиках с внешним АФУ

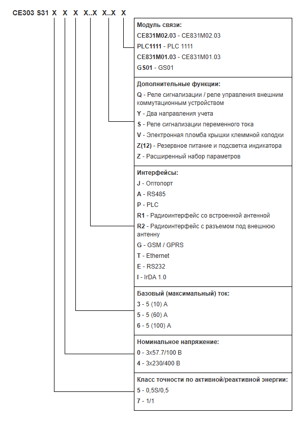
- Модель:
- CE303
- Тип корпуса:
- S31
- Интерфейсы:
- Оптопорт, PLC
- Дополнительные функции:
- Электронная пломба крышки клеммной колодки, Расширенный набор параметров, Модуль связи
- Номинальное напряжение, В:
- 3x230/400
- Базовый (максимальный) ток, А:
- 5 (100)
- Частота измерительной сети, Гц:
- 50±2,5
- Число тарифов:
- 4
- Количество датчиков тока, шт:
- 3
- Диапазон рабочих температур, °С:
- от минус 40 до плюс 60
- Габаритные размеры (ВхШхГ), не более, мм:
- 210,5 x 175 x 71,5
- Степень защиты по ГОСТ 14254-96:
- IP51
- Время усреднения профилей нагрузки, мин:
- 1; 2; 3; 4; 5; 6; 10; 12; 15; 20; 30; 60
- Глубина хранения профиля (при времени усреднения 60 мин.), сутки:
- 256
- Масса, не более, кг:
- 3
- Класс точности по активной/реактивной энергии:
- 1/1
- Фазность:
- Трехфазный
- Тарифность:
- Многотарифный
- Способ крепления:
- 3 винта
- Габаритные размеры коробки (ДхШхВ), не более, мм:
- 250 x 185 x 80
- Вес коробки, кг:
- 1,19





